Ice Ages*
by
J. Ernest "Sunny" Breeding, Jr., PhD Geophysics
Recent Ice Ages
Data for the most recent ice ages are shown in Fig. 4.1. Using proxy data from Antarctica ice cores a number of things were determined including the variation in carbon dioxide (red curve) going back 650,000 years. We first want to focus on the Benthic variation of oxygen isotopes (bottom curve). Oxygen is a chemical element that has species with different weights due to a different number of neutrons in the nuclei of the oxygen atoms. The different oxygen atoms are called isotopes. The most common isotope is oxygen 16, but another isotope is oxygen 18, which has 2 more neutrons and is therefore heavier.
The weight makes a difference. For example, when water evaporates in the ocean the lighter isotopes evaporate in greater number than the heavier isotopes. It also follows that since some of the heavier isotopes do evaporate, they are more likely to condense and fall back to the ocean as rain than the lighter isotopes. The result of this weight difference is that when ice is formed in glaciers, ice sheets, and sea ice, the ice contains mostly the lighter oxygen 16 atoms. As the ice continues to form the concentration of oxygen 18 atoms increases in the ocean water. Because of this, the ratio of oxygen 18 to oxygen 16 and how it changes in time can be used to determine when ice ages occur and when the ice over land and sea expands both vertically and horizontally. The difference in mass between the isotopes is exploited to determine the ratio (oxygen 18)/(oxygen 16) using a mass spectrometer. Note in the plot that the number increases downward on the Benthic axis.
|
Fig. 4.1. Variations found from proxies in Antarctica ice cores. Horizontal scale in thousands of years. (IPCC) See References for the sources of figures. |
The last 400,000 plus years show 4 ice ages, including the last one. The shaded regions indicate the interglacial warm periods. During this period the Benthic oxygen ratio values are the lowest, but soon the curve trends downward indicating an increase in ice volume until the greatest value occurs. The ratio then suddenly decreases (curve goes up) as another warm period begins. From the curves it is seen that the most recent ices ages occurred about every 100,000 years. Note that during this time the ice continues to form so that the glaciers, ice sheets, and sea ice continue to get larger for about 90,000 years. The warm period, which we are now experiencing, has been fairly short and lasts for only about 10,000 years. Our current warm period has been ongoing for about 14,000 years, and is seen to be both shorter in time as well as longer compared to the recent interglacials (shaded regions). Based on the recent history of ice ages another ice age should be in the future. No one can say exactly when that should occur, especially since we are now experiencing global warming.
A final look at Figure 4.1 shows that during the recent ice ages the concentration of carbon dioxide (red curve) tracks the variation in temperature, which follows the Benthic (bottom) curve. This happens because as the ocean warms it releases carbon dioxide into the atmosphere that had been stored in the ocean. So the carbon dioxide curve follows the temperature curve (Hansen, 2009.)
The Last Ice Age
|
Fig. 4.2. Comparison of temperature proxies from ice cores from Antarctica and Greenland. (Wikipedia) |
It is of great interest to focus on details of the last ice age, since it is the closest to our time and may give us a hint of what should be expected during the next ice age. Some of the findings were discovered rather recently, and are quite surprising. Fig. 4.2 shows the variation in temperature for the last 140,000 years. The top portion of the figure shows results from ice cores from Antarctica while the bottom figure presents the results of an ice core from Greenland. The major finding is that the Northern Hemisphere experienced a much more variable climate than the Southern Hemisphere. The Greenland record depicts very rapid swings in temperature, indicating that at high latitudes the climate was chaotic. What causes these abrupt changes? Why is there such a difference between the hemispheres? We need to take a closer look at what is happening.
Abrupt Climate Change
|
Fig. 4.3. Abrupt climate change due to Dansgaard-Oeschger and Heinrich Events. (NCDC NOAA) |
The top portion of Figure 4.3 was obtained from the record of an ice core in Greenland. It shows results for the last 80,000 years. The remarkable thing is the twenty abrupt swings in the climate indicated in the figure and referred to as Dansgaard-Oeschger (D-O) events. These events also appear in Fig. 4.2. In each case the cold temperature dramatically increases to a warmer value. This often occurred in as little time as a few decades. On a geological time scale this is a very rapid change. The warm temperature would then decrease back to the ice age temperature. These abrupt changes occurred about every several thousand years.
A similar phenomenon occurred in the North Atlantic when it experienced periods of extreme cold. These cold periods are called Heinrich events, and their occurrence is shown in the bottom of Figure 4.3. The data is obtained from a deep-sea sediment core taken from the North Atlantic. The six events represent distinct layers of coarse-grained sediments found in sediment cores in the North Atlantic. The coarse-grained sediments have been traced back to Canada, where they were scraped from rocks by the Laurentide ice sheet. The blue curve in Fig. 4.4 outlines the Laurentide Ice Sheet at its maximum extent about 15,000 years ago. Numerous icebergs broke off from the ice sheet and floated with the sediments into the North Atlantic Ocean. As the the icebergs melted in the ocean water the sediments dropped and layered the ocean bottom. The armadas of icebergs carried sediment all the way across the North Atlantic close to the shores of England and France. Enormous amounts of sediment were deposited by the icebergs on the sea floor. The Heinrich events occurred about every 10,000 years.
|
Fig. 4.4. Laurentide Ice Sheet. The blue curve outlines the extent of the ice sheet about 15,000 years ago. (NCDC NOAA) |
Although the D-O and Heinrich events had a major impact on the climate in the higher latitudes of the Northern Hemisphere, their influence extended to the tropics and even into the Southern Hemisphere. What caused the D-O and Heinrich events? We will will look for answers when we discuss the Causes of Climate Change in Page 5.
|
Fig. 4.5. Younger Dryas cold period highlighted in blue. See text for an explanation of the different curves. (NCDC NOAA) |
By 15,000 years ago the Earth was warming and we were in transition between the glacial and interglacial periods. But about 13,000 years ago there was another abrupt change in climate when the temperatures in the Northern Hemisphere dropped to near glacial conditions at the higher latitudes. This can be seen in the top GISP2 curve (dark blue) in Fig. 4.5, which shows the temperature variation in Greenland. The cold spell, named the Younger Dryas, lasted for about 1,300 years (shaded blue region.) At the end of the Younger Dryas the temperature abruptly warmed. This is clearly seen in the figure. The bottom GISP2 curve (light blue) indicates decreased snow accumulation in Greenland during the Younger Dryas. The Younger Dryas was also observed in the tropical Cariaco Basin near Venezuela (green curve). Although the temprature vaiation at Cariaco was narrow compared to the variation in Greenland. Measurements at Dome C in Antarctica show warming in that part of the Southern Hemisphere during the same time (black curve.) The bottom plot (red curve) shows there was an increase in melt water from the Laurentide Ice Sheet flowing in the St. Lawrence River during the Younger Dryas. The presence of melt water is a clue to what caused the abrupt changes in climate, and will be considered further when we look at the Causes of Climate Change in Page 5.
Change in Sea Level
|
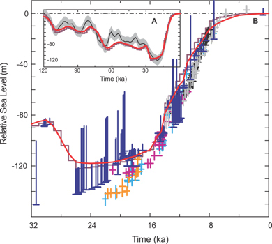
Fig. 4.6. Sea level history for the last glacial-interglacial cycle. (IPCC) |
It is interesting to consider the change in sea level during the last glacial-interglacial cycle. The ice-equivalent eustatic sea level history is shown in Fig. 4.6. From this we can see in A that the sea level curve had a downward trend for about 90,000 years, and then it increased at a rapid rate at the start of the interglacial warm period. During the last glacial period the sea level dropped by about 394 feet (120 meters) below the current mean sea level. The fact that the sea level has been stable for the last 7,000 years is unusual in the recent history of the Earth (Hansen, 2009.)
Climate and Our Ancestors
Our ancestors, "modern man," also called Cro-Magnons (Fagan, 2010), were around during the last ice age. At times it was brutally cold, and the higher latitudes that were consumed by massive ice sheets were not places to live. Even beyond the ice it was no paradise. These early humans had to be very self sufficient and were lucky if they could find a cave to live in. They were hunters and gatherers as agriculture had not been discovered yet. In fact, the chaotic nature of the climate was not conducive to agriculture since stable and consistent growing seasons did not exist. Many people did not survive the harsh conditions (Burroughs, 2005.) In fact, the Neanderthals, a rival hominid species sometimes referred to as our cousins, did not survive the last ice age. Cro-Magnons faced enormous challenges including hunting animals for food, just as big animals took them for food. They were constantly on the move looking for more food and places to survive. (Fagan, 2010)
It is likely that the cognitive skills that we inherited were developed during the last ice age due to the extreme challenges our ancestors faced. There is speculation that this was brought on by the enormous volcanic eruption of Mount Toba about 70,000 thousand years ago in Sumatra Indonesia, which made living conditions for life on the planet much worse than they already were. For about a decade following the eruption the temperatures would have been significantly colder, and colder temperatures would have persisted for many more years. This happened because the volcanic ash thrown into the atmosphere would have scattered around the globe reflecting sunlight back into space. Our ancestors, the Cro-Magnons in Africa, would have faced even tougher challenges during this time. In order to survive, this could have led to the development of language, intelligent gathering skills, the planning of hunts, the design of better weapons for hunting, and the painting of pictures on the walls of caves, as well as other endeavors requiring enhanced thought processes. We know that all of these things happened (Fagan, 2010).
As seen above in Fig. 4.6 the sea level varied by a large amount during the last ice age. As the water level dropped it uncovered the continental shelves that are now under water. Continental shelves are large and widespread throughout the world. Early humans would have moved with the variable shoreline, since fish was an important part of their diet. Unfortunately, any evidence of our ancestors living on the shelves was washed away when the planet started to warm and the sea level rose covering the shelves again (Burroughs, 2005.)
The large drop in sea level during the last ice age made it possible for our ancestors to migrate to places that would have otherwise been impossible for them to reach. For example, by a combination of walking and some movement by sea modern man reached Australia thousands of years ago (Burroughs, 2005.) They also walked from Siberia to Alaska, but the date that they first arrived in North America is unknown and debated. Unfortunately, there is a lack of evidence, and what has been found indicates that early Americans settled in Alaska more recently than about 15,000 years ago (Fagan, 2004.) From Alaska our ancestors were able to populate the Americas.In the last 10,000 years, known as the Holocene, the climate has been much more stable than during the preceding ice age. This has led to many advances by mankind including agriculture and urban development (Burroughs, 2005.)
A Time with no Ice Sheets
There have been times in the history of the Earth when it was much warmer, the concentration of carbon dioxide in the atmosphere was much higher than now, and there were no ice sheets anywhere. For example, this was the case 50 million years ago when Alaska had a tropical climate and there were crocodiles in the Arctic Ocean. Sea level would have been much higher than today towering over most of the land where coastal cities now exist on our planet. It is estimated that the level of carbon dioxide in the atmosphere was more than 1,000 parts per million (ppm), and perhaps more than three times the present value (Hansen, 2009.)
The present series of ice ages appears to have begun about 2.5 million years ago. For this to happen it was necessary that the concentration of carbon dioxide in the atmosphere decrease considerably. It is not known what caused this to happen. The movement of plates by continental drift was also important. In the Arctic land masses became better positioned about the North Pole which encouraged the formation of ice on the nearby land and sea. When Australia and South America moved away from Antarctica the Southern Ocean finally circled Antarctica, which encouraged the development of the enormous ice sheets there. It is also important that the circulation pattern of ocean currents developed properly to transport heat from the tropics to the poles, and for movement of the Earth in its orbit about the Sun to cause the Earth to cool due to a decrease in the intensity of solar radiation (Brian Fagan, Editor, 2009.) The latter two factors are discussed in the next section, Page 5.
We look at the causes of climate change next.
Pages
Page 1: Climate Change and Definition
Page 2: Evidence of Global Warming
Page
3: Measurements
Page 4: Ice Ages
Page 5: Causes of Climate Change
Page 6: Predicting the Future
Page 7: How Can We Fix Our Climate?
Page 8: References
*A slide show version of these pages on climate change is available for presentations to groups. See References for more details.
Copyright 2011-2015; For questions or comments contact the webmaster.





